Ao ver sangue, a maioria das pessoas sente repulsa ou até desmaiam, porém para outras, como os peritos criminais, ver imagens de sangue é uma rotina. Mas nem sempre o sangue está visível e, nessa situação, é necessária a utilização de técnicas de detecção do sangue. Uma delas é o uso do Luminol.
Um clássico nos seriados de TV e também na vida real, o 5-amina-2,3-di-hidro-1,4-ftalazinadiona, usualmente denominado Luminol, é um composto orgânico que, dependendo das condições, pode realizar uma reação quimiluminescente (reação química em que ocorre emissão de luz).
O Luminol é amplamente utilizado para detecção de sangue em perícias criminais, pois não afeta a cadeia de DNA, sendo assim possível o reconhecimento do assassino ou da vítima. Ele também é muito sensível a pequenos traços de sangue, pois, mesmo que o local ou o objeto tenham sido lavados anteriormente, resquícios de sangue ainda ficam adsorvidos nessas superfícies.
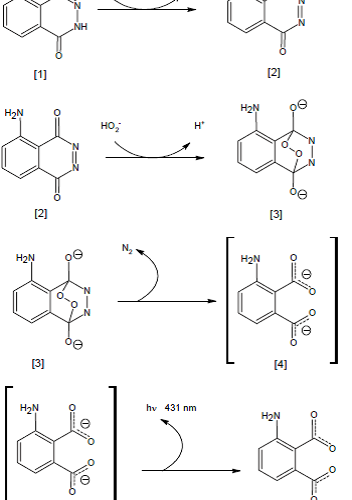
Mas para que a quimiluminescência aconteça, é preparada uma solução com o Luminol e peroxido de hidrogênio, na qual acontecerá a reação de oxidação do luminol através de um catalisador redox. Muitos metais podem funcionar como catalizador, como no caso do teste para presença de sangue, realizado pelos peritos criminais nas cenas de crime, em que o próprio ferro presente na hemoglobina é o catalizador. O Ferro oxida o Luminol, formando diazoquinona [2], que por sua vez é atacado pelo ânion do peróxido de hidrogênio, formando o endo-peróxido [3]. Este perde nitrogênio e forma o diânion do ácido 3-aminoftálico no estado excitado [4] o qual decai para o estado fundamental [5], emitindo radiação por fluorescência do 3-aminoftalato em um comprimento de onda de aproximadamente 431 nm. Um esquema geral desta reação é mostrado na Figura 2.
Observando no espectrofotômetro, a cor da luz emitida equivalente a este comprimento de onda é azul. Esta cor varia dependendo do agente oxidante, por exemplo, se for utilizado o dimetilsulfóxido no lugar de peróxido de hidrogênio, a cor será verde.

Figura 2. Mecanismo da oxidação do Luminol pelo Peróxido de Hidrogênio catalisado por metal de transição (Mn+)
É importante perceber que o Luminol não pode ser usado em superfícies metálicas, uma vez que metais são catalizadores da reação de quimiluminescência, podendo resultar em um falso positivo.
Além de ser utilizado na perícia forense, este poderoso reagente também é usado nos centros cirúrgicos a fim de fiscalizar e evitar a contaminação de equipamentos e utensílios.
Infelizmente, crimes horríveis acontecem todos os dias, em todo o mundo, por isso o Luminol é um importante auxiliar dos profissionais que são responsáveis por buscar a justiça através das análises das cenas de crime.
BIBLIOGRAFIA
LASAPE. Luminol. Disponível em: <http://www.lasape.iq.ufrj.br/luminol.html>. Acesso em 08 de novembro de 2017.
BRASIL ESCOLA. O que é Luminol? Disponível em: <http://brasilescola.uol.com.br/o-que-e/quimica/o-que-e-luminol.htm> Acesso em 08 de novembro de 2017.
CHEMELLO, E. Química Forense: manchas de sangue. Química virtual. 2007.
Figuras 1 e 2:
CHEMELLO, E. Química Forense: manchas de sangue. Química virtual. 2007.
PORTAL SÃO FRANCISCO. Luminol. Disponível em: <http://www.portalsaofrancisco.com.br/quimica/luminol> Acesso em 09 de novembro de 2017.


